スタートページWeb教材一覧オペレーションズリサーチ待ち行列

待ち行列(M/M/s)のプログラム

参照:「M/M/sの図表」

参照:JavaScriptの計算プログラム


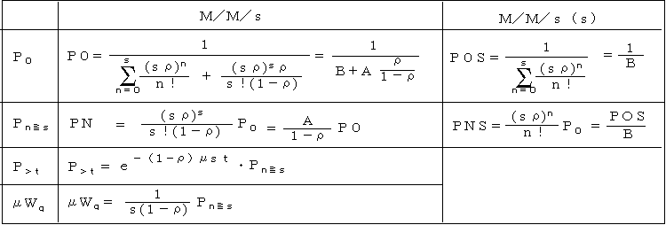
M/M/s(∞)とM/M/s(s)について,

とすると,
  P:系の中の人数が0である確率
  Pn≧s:窓口がすべてふさがっている確率
  P>t :サービスまでの待ち時間がtより長い確率
  μW:サービスまでの平均待ち時間(単位:平均待ち時間)
は,次のようになります。

公式の表
s:窓口の個数= λ:平均到着率= μ:平均サービス率=
(λ,μは[人/時]です。[時/人]で与えるときは、1/12 のように分数形式で入力できます)