[fe121-01]
次の10進小数のうち,8進数に変換したときに有限小数になるものはどれか。
ア 0.3 イ 0.4 ウ 0.5 エ 0.8
【解答】
[fe121-02][fe072-02]
非負の2進数 b1b2…bn を3倍したものはどれか。
ア b1b2…bn0+b1b2…bn
イ b1b2…bn00-1
ウ b1b2…bn000
エ b1b2…bn1
【解答】
[fe121-03]
隣接行列Aで表されるグラフはどれか。ここで,隣接行列とは,n個の節点から成るグラフの節点ViとVjを結ぶ枝が存在するときは第i行第j列と第j行第i列の要素が1となり,存在しないときは0となるn行n列の行列である。
[隣接行列A]
┌ 0 1 1 0 ┐
│ 1 0 0 1 │
│ 1 0 0 1 │
└ 0 1 1 0 ┘

【解答】
[fe121-04][ki102-01]
後置記法(逆ポーランド表記法)では,例えば,式 Y=(A-B)×C を YAB-C×= と表現する。次の式を後置記法で表現したものはどれか。
Y=(A+B)×(C-D÷E)
ア YAB+C-DE÷×= イ YAB+CDE÷-×=
ウ YAB+EDC÷-×= エ YAB+CD-E÷×=
【解答】
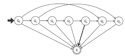
[fe121-05]
図は70円切符の自動販売機に硬貨が投入されたときの状態遷移を表している。状態Q4から状態Eへ遷移する事象はどれか。ここで,状態Q0は硬貨が投入されていない状態であり,硬貨が1枚投入されるたびに状態は矢印の方向へ遷移するものとする。
なお,状態Eは投入された硬貨の合計が70円以上になった状態であり,自動販売機は切符を発行し,釣銭が必要な場合には釣銭を返す。また,自動販売機は10円硬貨,50円硬貨,100円硬貨だけを受け付けるようになっている。

ア 10円硬貨が投入された。
イ 10円硬貨又は50円硬貨が投入された。
ウ 10円硬貨又は100円硬貨が投入された。
エ 50円硬貨又は100円硬貨が投入された。
【解答】
[fe121-06]
十分な大きさの配列Aと初期値が 0の変数pに対して,関数f(x) とg() が次のとおり定義されている。配列Aと変数pは,関数 f(x) と g() だけでアクセス可能である。これらの関数が操作するデータ構造はどれか。
function f(x){
p = p+1;
A[p] = x;
return None;
}
function g(){
x = A[p];
p = p-1;
return x;
}
ア キュー イ スタック ウ ハッシュ エ ヒープ
【解答】
[fe121-07]
多数のデータが単方向リスト構造で格納されている。このリスト構造には,先頭ポインタとは別に,末尾のデータを指し示す末尾ポインタがある。次の操作のうち,ポインタを参照する回数が最も多いものはどれか。
ア リストの先頭にデータを挿入する。
イ リストの先頭のデータを削除する。
ウ リストの末尾にデータを挿入する。
エ リストの末尾のデータを削除する。
【解答】
[fe121-08]
再帰呼出しの説明はどれか。
ア あらかじめ決められた順番ではなく,起きた事象に応じた処理を行うこと
イ 関数の中で自分自身を用いた処理を行うこと
ウ 処理が終了した関数をメモリから消去せず,必要になったとき再び用いること
エ 処理に失敗したときに,その処理を呼び出す直前の状態に戻すこと
【解答】
[fe121-09]
Web環境での動的処理を実現するプログラムであって,Webサーバだけで動作するものはどれか。
ア JavaScript イ Javaアプレット ウ Javaサーブレット エ VBScript
【解答】
[fe121-10]
マルチコアプロセッサの特徴として適切なものはどれか。
ア コアの個数をn倍にすると,プロセッサ全体の処理機能はn2倍になる。
イ 消費電力を抑えながら,プロセッサ全体の処理機能を高められる。
ウ 複数のコアが同時に動作しても,共有資源の競合は発生しない。
エ プロセッサのクロック周波数をシングルコアより高められる。
【解答】
[fe121-11][fe072-20]
外部割込みに分類されるものはどれか。
ア インターバルタイマによって,指定時間経過時に生じる割込み
イ 演算結果のオーバフローやゼロによる除算で生じる割込み
ウ 仮想記憶管理において,存在しないページへのアクセスによって生じる割込み
エ ソフトウェア割込み命令の実行によって生じる割込み
【解答】
[fe121-12]
DRAMのリフレッシュ動作の説明として,適切なものはどれか。
ア 一定時間ごとに内容を外部記憶装置に書き込む。
イ システムの電源投入時に,全領域を0で初期化する。
ウ データを保持するために,一定時間ごとにアクセスする。
エ 内容を更新するときに,データを一旦消去する。
【解答】
[fe121-13]
キャッシュメモリに関する記述のうち,適切なものはどれか。
【解答】
[fe121-14][fe091-14][ad091-05]
プラズマディスプレイパネルの説明として,適切なものはどれか。
ア ガス放電によって発生する光を利用して,映像を表示する。
イ 自身では発光しないので,バックライトを使って映像を表示する。
ウ 電極の間に挟んだ有機化合物に電圧をかけると発光することを利用して,映像を表示する。
エ 電子銃から発射した電子ビームを管面の蛍光体に当てて発光させ,文字や映像を表示する。
【解答】
[fe121-15]
クラウドコンピューティングの説明として,最も適切なものはどれか。
【解答】
[fe121-16]
フォールトトレラントシステムを実現する上で不可欠なものはどれか。
【解答】
[fe121-17]
図に示すシステム構成全体の稼働率を表す式はどれか。ここで,システムが正常に稼働するためには,磁気ディスクは2台とも正常でなければならず,それぞれのサイトで少なくとも1台の端末は正常でなければならない。

ア D2C(1-T2)2
イ D2C(1-(1-T)2)2
ウ (1-D)2C(1-T2)2
エ (1-D)2C(1-(1-T)2)2
【解答】
[fe121-18][ad072-14]
ベンチマークテストの説明として,適切なものはどれか。
【解答】
[fe121-19]
オンラインリアルタイム処理における一つのトランザクションについて,端末側で応答時間,回線伝送時間,端末処理時間が測定できるとき,サーバ処理時間を求める式として適切なものはどれか。ここで,他のオーバヘッドは無視するものとする。
ア サーバ処理時間=応答時間+回線伝送時間+端末処理時間
イ サーバ処理時間=応答時間+回線伝送時間-端末処理時間
ウ サーバ処理時間=応答時間-回線伝送時間+端末処理時間
エ サーバ処理時問=応答時間-回線伝送時間-端末処理時間
【解答】
[fe121-20]
次の条件で四つのジョブがCPU処理及び印刷を行う場合に,最初のCPU処理を開始してから最後の印刷が終了するまでの時間は何分か。
[条件]
(1)多量度1で実行される。
(2)各ジョブのCPU処理時間は20分である。
(3)各ジョブはCPU処理終了時に400Mバイトの印刷データをスプーリングする。
スプーリング終了後にOSの印刷機能が働き,プリンタで印刷される。
ア 120 イ 160 ウ 180 エ 240
【解答】
[fe121-21][su05-02]
仮想記憶システムにおいて主記憶の容量が十分でない場合,プログラムの多重度を増加させるとシステムのオーバヘッドが増加し,アプリケーションのプロセッサ使用率が減少する状態を表すものはどれか。
ア スラッシング イ フラグメンテーション ウ ページング エ ボトルネック
【解答】
[fe121-22]
ページ置換えアルゴリズムにおけるLRU方式の説明として,適切なものはどれか。
ア 最後に参照されたページを置き換える方式
イ 最後に参照されてからの経過時間が最も長いページを置き換える方式
ウ 最も参照回数の最も少ないページを置き換える方式
エ 最も古くから存在するページを置き換える方式
【解答】
[fe121-23][fe092-18]
様々なサイズのメモリ資源を使用するリアルタイムシステムのメモリプール管理において,可変長方式と比べた場合の固定長方式の特徴として,適切なものはどれか。
ア メモリ効率が良く,獲得及び返却の処理速度は遅く一定である。
イ メモリ効率が良く,獲得及び返却の処理速度は遅く不定である。
ウ メモリ効率が悪く,獲得及び返却の処理速度は速く一定である。
エ メモリ効率が悪く,獲得及び返却の処理速度は速く不定である。
【解答】
[fe121-24]
シェルのリダイレクト機能による実現の可否に関する記述のうち,適切なものはどれか。
【解答】
[fe121-25][fe101-23]
7セグメントLED点灯回路で,出力ポートに16進数で6Dを出力したときの表示状態はどれか。ここで,P7を最上位ビット(MSB),P0を最下位ビット(LSB)とし,ポート出力が1のとき, LEDは点灯する。
【解答】
[fe121-26]
60分の音声信号(モノラル)を,標本化周波数44.1kHz,量子化ビット数16ビットのPCM方式でディジタル化した場合,データ量はおよそ何Mバイトか。ここで,データの圧縮は行わないものとする。
ア 80 イ 160 ウ 320 エ 640
【解答】
[fe121-27]
3次元コンピュータグラフィクスに関する記述のうち,ポリゴンの説明はどれか。
【解答】
[fe121-28]
E-R図に関する記述として,適切なものはどれか。
ア 関係データベースの表として実装することを前提に作成する。
イ 業務で扱う情報をエンティティ及びエンティティ間のリレーションシップとして表現する。
ウ データの生成から消滅に至るデータ操作を表現できる。
エ リレーションシップは,業務上の手順を表現する。
【解答】
[fe121-29]
関係データベース管理システム(RDBMS)におけるビューに関する記述のうち,適切なものはどれか。
ア ビューとは,名前を付けた導出表のことである。
イ ビューに対して,ビューを定義することはできない。
ウ ビューの定義を行ってから,必要があれば,その基底表を定義する。
エ ビューは一つの基底表に対して一つだけ定義できる。
【解答】
[fe121-30][ad031-30]
「注文」表と「製品」表に対して,次のSQL文を実行したときに得られる結果はどれか。
SELECT 製品名, 数量 FROM 注文, 製品
WHERE 注文.製品コード = 製品.製品コード
注文 製品
日付 製品コード 数量 製品コード 製品名
2011-04-10 P2 120 P1 PC
2011-04-15 P1 100 P2 テレビ
2011-04-22 P4 50 P3 掃除機
2011-04-30 P8 80 P4 冷蔵庫
2011-05-06 P1 100 P5 エアコン
2011-05-08 P3 70 P6 電話機
P7 時計
ア 製品名 数 量 イ 製品名 数 量 ウ 製品名 数 量 エ 製品名 数 量
テレビ 120 テレビ 120 テレビ 120 テレビ 120
PC 100 PC 200 PC 100 PC 100
冷蔵庫 50 冷蔵庫 50 冷蔵庫 50 冷蔵庫 50
掃除機 70 掃除機 70 PC 100 Null 80
掃除機 70 PC 100
掃除機 70
【解答】
[fe121-31]
表Rに対する次のSQL文の操作はどの関係演算か。
R
┌───┬───┬───┬───┬───┐
│ A1 │ A2 │ A3 │ A4 │ A5 │
└───┴───┴───┴───┴───┘
[SQL文]
SELECT A1, A3, A5 FROM R
ア 結合 イ 差 ウ 射影 エ 直積
【解答】
[fe121-32]
DBMSにおけるログファイルの説明として,適切なものはどれか。
【解答】
[fe121-33]
DBMSにおける排他制御に関する記述のうち,適切なものはどれか。
ア アクセス頻度の高いデータの処理速度を上げるためには,排他制御が必要である。
イ 処理速度を上げるため,排他制御を行うデータの範囲は極力大きくすべきである。
ウ データアクセス時のデッドロックを防止するために,排他制御が必要である。
エ 複数の人が同時に更新する可能性のあるデータには,排他制御が必要である。
【解答】
[fe121-34]
10Mバイトのデータを100,000ビット/秒の回線を使って転送するとき,伝送時間は秒か。ここで,回線の伝送効率は50%とし,1Mバイト=106バイトとする。
ア 200 イ 400 ウ 800 エ 1,600
【解答】
[fe121-35]
LAN間接続装置に関する記述のうち,適切なものはどれか。
ア ゲートウェイは,OSI基本参照モデルにおける第1~3層だけのプロトコルを変換する。
イ ブリッジは,IPアドレスを基にしてフレームを中継する。
ウ リピータは,同種のセグメント間で信号を増幅することによって伝送距離を延長する。
エ ルータは,MACアドレスを基にしてフレームを中継する。
【解答】
[fe121-36][fe092-38][fe071-54]
インターネットにおける電子メールの規約で,ヘッダフィールドの拡張を行い,テキストだけでなく,音声,画像なども扱えるようにしたものはどれか。
ア HTML イ MHS ウ MIME エ SMTP
【解答】
[fe121-37]
プライベートIPアドレスの複数の端末が,一つのグローバルIPアドレスを使ってインターネット接続を利用する仕組みを実現するものはどれか。
ア DHCP イ DNS ウ NAPT エ RADIUS
【解答】
[fe121-38][fe082-51]
電子メールシステムで使用されるプロトコルであるPOP3の説明として,適切なものはどれか。
【解答】
[fe121-39]
HTMLやXMLの要素をどのように表示するかを指示する場合に用いられ,表示クライアント側で処理されるものはどれか。
ア CGI イ CSS ウ PHP エ SSI
【解答】
[fe121-40]
送信者から電子メール本文とそのハッシュ値を受け取り,そのハッシュ値と,受信者が電子メール本文から求めたハッシュ値とを比較することで実現できることはどれか。ここで,受信者が送信者から受け取るハッシュ値は正しいものとする。
ア 電子メールの送達の確認
イ 電子メール本文の改ざんの有無の検出
ウ 電子メール本文の盗聴の防止
エ なりすましの防止
【解答】
[fe121-41]
文書の内容を秘匿して送受信する場合の公開鍵暗号方式における鍵と暗号化アルゴリズムの取扱いのうち,適切なものはどれか。
ア 暗号化鍵と復号鍵は公開するが,暗号化アルゴリズムは秘密にしなければならない。
イ 暗号化鍵は公開するが,復号鍵と暗号化アルゴリズムは秘密にしなければならない。
ウ 暗号化鍵と暗号化アルゴリズムは公開するが,復号鍵は秘密にしなければならない。
エ 復号鍵と暗号化アルゴリズムは公開するが,暗号化鍵は秘密にしなければならない。
【解答】
[fe121-42]
システム障害を想定した事業継続計画(BCP)を策定する場合,ビジネスインパクト分析での実施事項はどれか。
ア BCPの有効性を検証するためのテストを実施する。
イ 情報システム障害時の代替手順と復旧手順について関係者を集めて教育する。
ウ 情報システムに関する内外の環境の変化を踏まえてBCPの内容を見直す。
エ 情報システムに許容される最大停止時間を決定する。
【解答】
[fe121-43]
図のようなサーバ構成の二重化によって期待する効果はどれか。

ア 可用性の向上 イ 安全性の向上 ウ 機密性の向上 エ 責任追跡性の向上
【解答】
[fe121-44]
通信を要求したPCに対し,ARPの仕組みを利用して実現できる通信の可否の判定方法のうち,最も適切なものはどれか。
【解答】
[fe121-45]
ディレクトリトラバーサル攻撃に該当するものはどれか。
【解答】
[fe121-46]
オブジェクト指向プログラミングの特徴はどれか。
【解答】
[fe121-47][fe071-44]
階層構造のモジュール群からなるソフトウェアの結合テストを,上位のモジュールから行う。この場合に使用する,下位モジュールの代替となるテスト用のモジュールはどれか。
ア エミュレータ イ シミュレータ ウ スタブ エ ドライバ
【解答】
[fe121-48]
ソフトウェア開発におけるテスト技法のうち,ブラックボックステストに関する記述として,適切なものはどれか。
【解答】
[fe121-49]
サブルーチンへの引数の渡し方のうち,変数を引数として渡しても,サブルーチンの実行後に変数の値が変更されないことが保証されているものはどれか。
ア 値呼出し イ 結果呼出し ウ 参照呼出し エ 名前呼出し
【解答】
[fe121-50]
ソフトウェアのリバースエンジニアリングの説明はどれか。
ア CASEツールなどを用いて,設計情報からソースコードを自動生成する。
イ 外部から見たときの振る舞いを変えずに,ソフトウェアの内部構造を変える。
ウ 既存のソフトウェアを解析し,その仕様や構造を明らかにする。
エ 既存のソフトウェアを分析し理解した上で,ソフトウェア全体を新しく構築し直す。
【解答】
[fe121-51]
ソフトウェア開発プロジェクトで行う構成管理の対象項目として,適切なものはどれか。
ア 開発作業の進捗状況 イ 成果物に対するレビューの実施結果
ウ プログラムのバージョン エ プロジェクト組織の編成
【解答】
[fe121-52]
プロジェクトのタイムマネジメントのために次のアローダイアグラムを作成した。クリティカルパスはどれか。

ア A → C → E → F イ A → D → G ウ B → E → F エ B → E → G
【解答】
[fe121-53]
設計書の作成状況が表のとおりであるとき,3種類の設計書全ての作成を完了させるために必要な今後の工数(人時)は幾らか。
設計書 作成枚数 1枚当たりの所要 現在までの作成
(枚) 工数(人時) 済み枚数(枚)
基本設計書 80 5 80
概要設計書 300 2 200
詳細設計書 500 2 50
ア 550 イ 900 ウ 1100 エ 2000
【解答】
[fe121-54]
システム開発プロジェクトにおける,ソフトウェア品質の管理指標の一つとして,最も適切なものはどれか。
ア WBSを構成するワークパッケージの完了数
イ 個人別のプログラミングの生産性
ウ 成果物ごとのレビュー時間
エ プログラムのバージョン
【解答】
[fe121-55]
ITサービスマネジメントの管理プロセスはどれか。
ア サービスレベル管理 イ スケジュール管理 ウ 品質管理 エ リスク管理
【解答】
[fe121-56][fe081-51]
複数の業務システムがある場合のアクセス管理の方法として,最も適切なものはどれか。
ア 業務の担当変更に迅速に対応するために,業務グループごとに共通の利用者IDを使用する。
イ 人事異動が頻繁に発生する場合には,年初にまとめてアクセス権限の変更を行う。
ウ 新入社員の名簿に基づいて,あらかじめ全業務システムに全員の利用者登録を実施しておく。
エ 利用者の職位権限にかかわらず,業務システムごとに適切なアクセス権限の設定を行う。
【解答】
[fe121-57]
チェックディジットを利用する目的として,適切なものはどれか。
ア 数値項目へ入力したデータに,英字や記号が混入した誤りを検出する。
イ 入力したコードの値の誤りを検出する。
ウ 入力したコードのけた数の誤りを検出する。
エ 入力したデータ値が,定められた範囲内に収まっていない誤りを検出する。
【解答】
[fe121-58][fe101-58]
システム監査人の独立性が保たれている状況はどれか。
【解答】
[fe121-59]
システム開発を外部委託している部門が,委託先に対する進捗管理についてシステム監査を受ける場合,提出すべき資料はどれか。
ア 委託先から定期的に受領している業務報告及びその検証結果を示している資料
イ 成果物の検収方法を明確にしている資料
ウ ソフトウェアの第三者への預託を行っていることを示している資料
エ データや資料などの回収と廃業の方法を明確にしている資料
【解答】
[fe121-60]
システム監査において,監査証拠となるものはどれか。
ア システム監査チームが監査意見を取りまとめるためのミーティングの議事録
イ システム監査チームが監査報告書に記載した指摘事項
ウ システム監査チームが作成した個別監査計画書
エ システム監査チームが被監査部門から入手したシステム運用記録
【解答】
[fe121-61]
リスクや投資価値の類似性で分けたカテゴリごとの情報化投資について,最適な資源配分を行う手法はどれか。
ア 3C分析 イ ITポートフォリオ ウ エンタープライズアーキテクチャ エ ベンチマーキング
【解答】
[fe121-62]
情報戦略の立案時に,必ず整合性をとるべき対象はどれか。
ア 新しく登場した情報技術 イ 基幹システムの改修計画
ウ 情報システム部門の年度計画 エ 中長期の経営計画
【解答】
[fe121-63][fe092-63]
ASPとは,どのようなサービスを提供する事業者か。
【解答】
[fe121-64]
企業が保有する顧客や市場などの膨大なデータから,有効な情報や関係を見つけ出す手法はどれか。
ア データウェアハウス イ データディクショナリ
ウ データフローダイアグラム エ データマイニング
【解答】
[fe121-65][ki102-25]
サプライチェーンマネジメントの改善指標となるものはどれか。
ア 残業時間の減少率 イ 販売単価下落の防止率
ウ 不良在庫の減少率 エ 優良顧客数の増加率
【解答】
[fe121-66]
図に示す手順で情報システムを調達する場合,bに入るものはどれか。
┌───┐
│ a │ 発注元はベンダにシステム化の目的や業務内容など
└─┬─┘ を示し、情報提供を依頼する。
↓
┌─┴─┐
│ b │ 発注元はベンダに調達対象システム、調達条件など
└─┬─┘ を示し、提案書の提出を依頼する。
↓
┌─┴─┐
│ c │ 発注元はベンダの提案書、能力などに基づいて、調
└─┬─┘ 達先を決定する。
↓
┌─┴─┐
│ d │ 発注元と調達先の役割や責任分担などを、文書で相
└───┘ 互に確認する
ア RFI イ RFP ウ 供給者の選定 エ 契約の締結
【解答】
[fe121-67][ad071-61]
プロダクトポートフォリオマネジメント(PPM)における「花形」を説明したものはどれか。
【解答】
[fe121-68][ad061-62]
コアコンピタンス経営を説明したものはどれか。
【解答】
[fe121-69]
バランススコアカードの顧客の視点における戦略目標と業績評価指標の例はどれか。
ア 持続的成長が目標であるので,受注残を指標とする。
イ 主要顧客との継続的な関係構築が目標であるので,クレーム件数を指標とする。
ウ 製品開発力の向上が目標であるので,製品開発領域の研修受講時間を指標とする。
エ 製品の納期遵守が目標であるので,製造期間短縮日数を指標とする。
【解答】
[fe121-70][ki102-27]
ワンチップマイコンの内蔵メモリとしてフラッシュメモリが採用されている理由として,適切なものはどれか。
ア ソフトウェアのコードサイズを小さくできる。
イ マイコンの出荷後もソフトウェアの書換えが可能である。
ウ マイコンの処理性能が向上する。
エ マスクROMよりも信頼性が向上する。
【解答】
[fe121-71][fe101-73][ad081-74]
(1)~(3)の手順に従って処理を行うものはどれか。
ア CAD イ CRP ウ JIT エ MRP
【解答】
[fe121-72]
個別生産,プロセス生産,連続生産,ロット生産の各生産方式の特徴を比較した表の a に当てはまるものはどれか。
生産方式 a b c d
生産量 少 中 多 多
主な生産形態 受注生産 受注・見込生産 見込生産 受注・見込生産
生産品種 多 中 少 少
段取り頻度 多 中 少 極少
処理(例) 組立て 組立て 組立て 化学的
ア 個別生産 イ プロセス生産 ウ 連続生産 エ ロット生産
【解答】
[fe121-73]
ICタグ(RFID)の特徴はどれか。
ア GPSを利用し,受信地の位置情報や属性情報を表示する。
イ 専用の磁気読取り装置に挿入して使用する。
ウ 大量の情報を扱うので,情報の記憶には外部記憶装置を使用する。
エ 汚れに強く,記録された情報を梱(こん)包の外から読むことができる。
【解答】
[fe121-74][sd07-48][fe072-75][sd03-41]
パレート図を説明したものはどれか。
【解答】
[fe121-75][ad082-71][ad041-73]
ある工場で製品A,Bを生産している。製品Aを1トン生産するのに,原料P,Qをそれぞれ4トン,9トン必要とし,製品Bについてもそれぞれ8トン,6トン必要とする。また,製品A,Bの1トン当たりの利益は,それぞれ2万円,3万円である。
原料Pが40トン,Qが54トンしかないとき,製品A,Bの合計の利益が最大となる生産量を求めるための線形計画問題として,定式化したものはどれか。ここで,製品A,Bの生産量をそれぞれxトン,yトンとする。
ア 条件 4x+8y≧40 イ 条件 4x+8y≦40
9x+6y≧54 9x+6y≦54
x≧0,y≧0 x≧0,y≧0
目的関数 2x+3y → 最大化 目的関数 2x+3y → 最大化
ウ 条件 4x+9y≧40 エ 条件 4x+9y≦40
8x+6y≧54 8x+6y≦54
x≧0,y≧0 x≧0,y≧0
目的関数 2x+3y → 最大化 目的関数 2x+3y → 最大化
【解答】
[fe121-76]
図の損益計算書における経常利益は何百万円か。ここで,枠内の数値は明示していない。
単位 百万円
損益計算書
─────
1.売上高 1,585
2.売上原価 951
─────
[ ]
3.販売費及び一般管理費 160
─────
[ ]
4.営業外収益 80
5.営業外費用 120
─────
[ ]
6.特別利益 5
7.特別損失 15
─────
[ ]
ア 424 イ 434 ウ 474 エ 634
【解答】
[fe121-77][ad081-65]
図は二つの会社の損益分岐点を示したものである。A社とB社の損益分析に関する記述のうち,適切なものはどれか。

【解答】
[fe121-78][ad061-78]
著作権法によるソフトウェアの保護範囲に関する記述のうち,適切なものはどれか。
【解答】
[fe121-79]
事業者の取り扱う商品やサービスを,他者の商品やサービスと区別するための文字,図形,記号など(識別標識)を保護する法律はどれか。
ア 意匠法 イ 商標法 ウ 特許法 エ 著作権法
【解答】
[fe121-80]
製造物責任法の対象となる制御用ソフトウェアの不具合はどれか。ここで,制御用ソフトウェアはエレベータの制御装置に組み込まれているものとする。
ア エレベータの待ち時間が長くなる原因となった不具合
イ エレベータの可動部分の交換を早める原因となった不具合
ウ エレベータメーカの出荷作業の遅延の原因となった不具合
エ 人的被害が出たエレベータ事故の原因となった不具合
【解答】