[ad062-01]
フラッシュメモリの特徴として,適切なものはどれか。
ア アクセスが高速なので,キャッシュメモリなどに使用される。
イ 一度しか書き込めないので,プログラムメモリなどに使用される。
ウ 書換えができる記憶保持型のメモリなので,USBメモリやSDカードに使用される。
エ リフレッシュ処理が必要であるが何度でも書換えができるので,主記憶などに使用される。
【解答】
[ad062-02][ad042-03]
CPUの1次キャッシュ及び2次キャッシュ(以下,1次,2次と略す)に関する記述のうち,適切なものはどれか。
【解答】
[ad062-03][ad031-04]
記録面が2面の磁気ディスク装置において,1面当たりのトラック数が1,500で,各トラックのセクタ数が表のとおりであるとき,この磁気ディスク装置の容量は約何Mバイトか。ここで,1セクタの長さは500バイト,1Mバイト=106バイトとする。
トラック番号 セクタ数
0~ 699 300
700~1499 250
ア 205 イ 410 ウ 413 エ 826
【解答】
[ad062-04]
磁気テープの特徴に関する記述として,適切なものはどれか。
ア 体積が大きく運搬ができないので,保管や再利用には適していない。
イ 大量のデータが記憶でき,安価であるので,磁気ディスクのバックアップなどによく利用される。
ウ 低速ではあるが,ランダムアクセスが可能である。
エ ビット当たりの価格は磁気ディスクより高価である。
【解答】
[ad062-05]
USBハブの説明として,適切なものはどれか。
ア ハブ同士はクロスケーブルで接続する。
イ ハブの接続は,コンピュータの電源を入れる前に行う必要がある。
ウ ハブを経由して,複数のコンピュータ同士を接続することができる。
エ ハブを利用して,外部機器をハブを含めて最大127台まで接続できる。
【解答】
[ad062-06]
ハイバネーションに関する記述として,適切なものはどれか。
ア コンピュータ内に保存されたデータやプログラムを磁気ディスクなどの記憶媒体に保存する機能
イ コンピュータ内のシステム情報を特定のタイミングで抜き出して,メモリや磁気ディスクに格納する機能
ウ コンピュータの電源を切る直前の作業状態を磁気ディスクに保存する機能
エ 省電力モードに移行する直前の作業状態を主記憶に保存する機能
【解答】
[ad062-07]
使用しているPCの応答時間が悪化してきたので調査したところ,磁気ディスクの入出力時間が増大してきたことが分かった。この状況を改善するためにユーティリティを導入し,シーク動作を減少させて効率よくアクセスできるようにしたい。このとき,ユーティリティが行うべき適切な処理はどれか。ここで,利用する磁気ディスクは1台とする。
ア 大きなサイズのファイルを同一のディレクトリ(フォルダ)に格納する。
イ 各ファイルを磁気ディスクの複数の領域に分散する。
ウ 参照頻度の高いファイルを磁気ディスクの連続した領域に格納する。
エ 参照頻度の高いファイルを同一のディレクトリ(フォルダ)に格納する。
【解答】
[ad062-08]
PCに接続した周辺機器をアプリケーションソフトから利用できるようにするために,OSと周辺機器を仲介する目的で周辺機器ごとに用意されるソフトウェアはどれか。
ア インストーラ イ デバイスドライバ ウ デバイスマネージャ エ フォーマッタ
【解答】
[ad062-09]
記憶媒体の有効利用やバックアップ,配布などの効率化を目的として,複数のファイルを一つにまとめる処理はどれか。
ア アーカイブ イ アロケート ウ パッチ エ プロテクト
【解答】
[ad062-10][ad032-11]
2,000kバイトのデータをファイルへ出力するとき,次の条件でデータを圧縮して出力する時間は,圧縮しない場合に比べてどうなるか。
〔条件〕
(1) ファイル出力に要する時間は1kバイト当たり10ミリ秒である。
(2) データの圧縮率は50%で,圧縮に要する処理時間は1kバイト当たり5ミリ秒である。
(3) 圧縮処理とファイル出力は並行動作しない。
ア 20秒短くなる。 イ 10秒短くなる。 ウ 変わらない。 エ 10秒長くなる。
【解答】
[ad062-11]
2層構造と3層構造のクライアントサーバシステムを比較したとき,3層構造の特徴として,適切なものはどれか。
ア アプリケーションの開発とその保守作業の作業効率は悪くなる。
イ クライアントとサーバ間の通信量が増加しやすい。
ウ データの処理ロジックを変更しても,クライアントモジュールへの影響を少なくできる。
エ 利用するデータベースを三つの機能層に分割するので,性能が向上する。
【解答】
[ad062-12][ad042-12]
同一性能のプリンタが2台あり,パソコンからの出力は空いているプリンタで自動的に印刷されるとき,プリンタの使用率を平均50%以下にしておくためには,接続するパソコンを何台までに抑える必要があるか。ここで,パソコン1台当たりの印刷量は1時間に平均30ページであり,プリンタの印刷速度は,1分間に20ページとする。また,パソコンとプリンタ間のデータ転送時間や,プリンタ装置におけるオーバヘッドは考慮しないものとする。
ア 15 イ 20 ウ 30 エ 40
【解答】
[ad062-13]
システムが単位時間内にジョブを処理する能力の評価尺度はどれか。
ア MIPS値 イ 応答時間 ウ スループット エ ターンアラウンドタイム
【解答】
[ad062-14]
装置aとbのMTBFとMTTRが表のとおりであるとき,aとbを直列に接続したシステムの稼働率は幾らか。
(単位:時間)
装置 MTBF MTTR
a 80 20
b 180 20
ア 0.72 イ 0.80 ウ 0.85 エ 0.90
【解答】
[ad062-15]
フェールセーフ設計の考え方として,適切なものはどれか。
ア 安全で信頼できる部品だけを用いて,想定期間中に故障が発生しないようにする。
イ 機器が故障したり人間が操作の間違いを犯したりしても,安全だけは確保する。
ウ 障害発生後に機能が低下するにしても,まずはシステムの運転を継続させる。
エ 定期的な点検によって,機器の正常な機能を維持し,連続稼働時間を延ばす。
【解答】
[ad062-16][ad051-16]
コンピュータがPBXなどと連携して,電話やファックスに対して自動応答したり,適切な着信者に振り分けたりする技術はどれか。
ア CTI イ VoIP ウ VPN エ ゲートキーパ
【解答】
[ad062-17]
現在広く利用されているIPv4に対し,IPv6の導入によって可能になるものはどれか。
ア インターネットの急速な普及によって起きるIPアドレス不足の解消
イ 電子メールアドレスやドメイン名での日本語使用
ウ 光ファイバによる一般家庭からのインターネット接続
エ 複数のホストに同時にパケットを配送するマルチキャスト
【解答】
[ad062-18][ad042-18]
電子メールに関する記述のうち,適切なものはどれか。
【解答】
[ad062-19][sd04-10]
データマイニングを説明したものはどれか。
【解答】
[ad062-20]
次のような特徴をもつソフトウェアを何と呼ぶか。
ア スクリプト イ パッチ ウ プラグイン エ マクロ
【解答】
[ad062-21]
小さいアプリケーションプログラムを意味し,コンパイル済みのオブジェクトコードがサーバに格納されていて,クライアントからの要求によってクライアントへ転送されて実行されるプログラムはどれか。
ア アプレット イ サーブレット ウ スクリプト エ スレッド
【解答】
[ad062-22][ad031-23]
PostScript言語の説明として,適切なものはどれか。
ア OSに対するコマンドを記述するためのスクリプト言語である。
イ 主にプリンタ用に使用されるページ記述言語である。
ウ ネットワーク上を次々に移動して処理を行うエージェントを作成するための言語である。
エ ブラウザ上で動くプログラムを作成するためのスクリプト言語である。
【解答】
[ad062-23][ad031-26]
表計算ソフトを使って,20人分のアンケートを集計する。セルC23に入れるべき式はどれか。ここで,セルC23の式は,C23~L27の範囲の各セルに複写される。
〔アンケートと集計の方法〕
アンケートは,Q1~Q10の10項目の質問から構成される。各質問には1~5の5段階の回答がある。回答は,表の行ごとに1人分を入力してある。集計は,各質問について回答の1~5のそれぞれの個数を,件数関数を使って求め,その結果をC23~L27に表示する。
〔件数関数の仕様〕
形式:件数(e1,e2)
e1:セル範囲
e2:値又はセル参照
機能:e1で指定された範囲内で,e2で示される値と同じ値をもつセルの個数を返す。

ア 件数(C$2~C$21,A$23) イ 件数(C$2~C$21,$A23)
ウ 件数($C2~$C21,A$23) エ 件数($C2~$C21,$A23)
【解答】
[ad062-24]
X営業所には4名の営業担当者がいる。各担当者の個人売上目標額は,全体の売上目標額を,各担当者の職能に営業活動占有度を乗じた値に比例させて,決めている。セルB4に計算式“B2*B3”を入力し,セルC4~E4に複写する。同様にセルB5にある計算式を入力し,セルC5~E5に複写して個人売上目標額を計算する場合,セルB5に入れるべき計算式はどれか。ここで,セルF2に入力されている値は,X営業所の売上目標額とする。

ア B4/合計($B4~$E4)*$F2 イ B4/合計(B$4~E$4)*F$2
ウ B4/合計(B4~$E4)*$F2 エ B4/合計(B4~E$4)*F$2
【解答】
[ad062-25]
電子会議,電子メールなどのコミュニケーション機能やバグ票管理などのワークフロー支援機能をもち,人と人との共同作業を支援するソフトウェアはどれか。
ア CAD イ SCM ウ エキスパートシステム エ グループウェア
【解答】
[ad062-26][ad051-26]
ERPソフトウェアパッケージに関する記述のうち,最も適切なものはどれか。
ア 企業のビジネスプロセスの分析が不要なので,比較的容易に導入できる。
イ 導入後のメンテナンスは,システム部門が担当することが望ましい。
ウ 導入に当たっては,ビジネスプロセスの検証・標準化が不可欠である。
エ 日本企業のビジネスプロセスに特化した統合化システムソフトウェアである。
【解答】
[ad062-27]
Webアプリケーションサーバの機能として,最も適切なものはどれか。
ア 外部からの不正パケットを排除する。
イ データベースを管理する。
ウ 表示用のHTML文書を動的に生成する。
エ ホスト名をIPアドレスに変換する。
【解答】
[ad062-28]
ミドルウェアの説明として,適切なものはどれか。
【解答】
[ad062-29][ad042-29]
多数のエンドユーザが業務で頻繁に使用するシステムがある。このシステムを更新するときのシステムアドミニストレータと情報システム部門の役割を(1)~(3)に分類した。このとき,(1)の業務はどれか。
(1) システムアドミニストレータが主体となって遂行する業務
(2) 情報システム部門が主体となって遂行する業務
(3) システムアドミニストレータと情報システム部門が協力して遂行する業務
ア 業務改善策に基づいたシステム構築
イ 業務改善策の立案
ウ システムの運用管理
エ システムのセキュリティポリシの策定
【解答】
[ad062-30]
システム開発の早い段階で,利用者が目に見える形で要求を確認できるように試作品を作成する開発モデルはどれか。
ア ウォータフォールモデル イ エクストリームプログラミング
ウ スパイラルモデル エ プロトタイピング
【解答】
[ad062-31][ad031-34]
データモデルの表記が次の表記法に従うとき,E-R図の解釈に関する記述のうち,適切なものはどれか。

ア 同一の商品は一つの仕入先から仕入れている。
イ 発注明細と納品明細は1対1で対応している。
ウ 一つの発注で複数種類の商品を発注することはない。
エ 一つの発注で複数の仕入先に発注することはない。
【解答】
[ad062-32]
コード設計の作業の中で,最初に行うべき作業はどれか。
ア コード化作業とコード表作成
イ コード化対象の選定
ウ コードファイルの作成
エ 使用期間とデータ量の予測
【解答】
[ad062-33]
システム内で注文番号が一意でなければならないとき,次の注文データが入力された場合,今までの注文データが格納されている注文マスタファイルを調べて,一意であることを確認するチェック方式はどれか。

ア 重複チェック イ フォーマットチェック ウ リミットチェック エ 論理チェック
【解答】
[ad062-34]
ソフトウェアのテスト方法のうち,ソフトウェア保守のために行った変更によって,影響を受けないはずの箇所に影響を及ぼしていないかどうかを確認する目的で行うものはどれか。
ア 運用テスト イ 結合テスト ウ システムテスト エ リグレッションテスト
【解答】
[ad062-35]
四つのサブシステム(ア~エ)から成るシステムを開発している。次のグラフは,それぞれのサブシステムのテスト工程で発見されたバグの累積数を表したものである。最も高品質と考えられるサブシステムはどれか。
なお,発見されたバグはすべて除去済みであり,各サブシステムの開発規模,開発期間,要員数は,ほぼ同じである。

【解答】
[ad062-36]
プロジェクトが次の条件に従って遂行されるとき,プロジェクト全体が終了するまでには最短で何日が必要か。
〔プロジェクト遂行条件〕
このプロジェクトは,九つの作業A~Iで構成される。
各作業の所要日数は次のとおりである。
作業Aは5日,作業Bは5日,作業Cは4日,作業Dは3日,作業Eは6日,
作業Fは3日,作業Gは4日,作業Hは8日,作業Iは8日
作業順序は次のとおりである。
作業Aはすべての作業に先行する。
作業Bに先行する作業は作業Aである。
作業Cに先行する作業は作業Aである。
作業Dに先行する作業は作業Bである。
作業Eに先行する作業は作業Cである。
作業Fに先行する作業は作業Cである。
作業Gに先行する作業は作業Fである。
作業Hに先行する作業は作業Dである。
作業Iに先行する作業は作業EとGである。
ア 21 イ 22 ウ 23 エ 24
【解答】
[ad062-37]
アウトソーシングサービスのうち,MSP(マネージドサービスプロバイダ)のサービスはどれか。
【解答】
[ad062-38]
ネットワークに接続しているPCがコンピュータウイルスに感染したことが判明したときの対処のうち,最初に行うべきものはどれか。
ア 感染したPCをネットワークから切り離す。
イ 独立行政法人 情報処理推進機構(IPA)に届け出る。
ウ ハードディスクを初期化する。
エ ワクチンソフト開発会社のWebページなどで対処方法を調べる。
【解答】
[ad062-39][ad051-39]
ディスク障害時に,バックアップテープからデータをリストアした後,バックアップ時以降のジャーナルを反映させて最新の状況にデータベースを回復する方法はどれか。
ア チェックポイントリスタート イ リブート
ウ ロールバック エ ロールフォワード
【解答】
[ad062-40][ad041-42]
情報システムの障害対策の一つである縮退運転に関する記述として,適切なものはどれか。
【解答】
[ad062-41]
運用中のプログラムが売上データの上限超過を検出したので,入力原票を調べたところ売上数量が上限値より2けた多かった。当該データに対する運用部門の対応として,適切なものはどれか。
ア 運用部門長の承認を得て,運用部門で修正する。
イ システム開発部門に問い合わせる。
ウ 当該データは破棄する。
エ 入力原票を起票した部門に確認してもらう。
【解答】
[ad062-42]
運用中のデータベースに対し,定期的に再編成処理を行う目的はどれか。
【解答】
[ad062-43][ad042-44]
クライアント管理ツールに備わっている機能のうち,業務に無関係なソフトウェアがインストールされていないことを確認するのに最も有効なものはどれか。
ア インベントリ収集 イ 遠隔操作 ウ ソフトウェア配信 エ ライフサイクル管理
【解答】
[ad062-44]
システムの保守に関する記述のうち,MTBFを長くできるものはどれか。
ア 遠隔保守を実施する。
イ 故障発生箇所の臨時保守を実施する。
ウ 保守センタを1か所集中配置から分散配置に変える。
エ 予防保守を実施する。
【解答】
[ad062-45]
個々の内容の重要性に注目して,展開順序を決める文章の構成法がある。この構成法に従っているものはどれか。
ア 幾つかの事例を示すごとに,システムがもつべき機能の必要性を説明する。
イ 業務処理の流れに沿って,システムの操作方法を説明する。
ウ プログラム処理の流れに沿って,ソフトウェアの機能を説明する。
エ 利用頻度の高いものから,システムの機能を説明する。
【解答】
[ad062-46][ad031-52]
共通鍵暗号方式の鍵として32ビットの鍵を使用した場合,鍵の候補は何通りか。
ア 322 イ 32! ウ 232 エ 32C2
【解答】
[ad062-47]
送信者が受信者の公開鍵で暗号化し,受信者が受信者の秘密鍵で復号する電子メールでできることはどれか。
ア 電子メールの作成者の特定 イ 電子メールの到達確認
ウ 電子メール本文の改ざんの検知 エ 電子メール本文の内容の秘匿
【解答】
[ad062-48]
出張先のホテルからインターネットを介して社内システムにリモートアクセスする場合に,認証を強化する方法はどれか。
ア IPアドレスを通知して接続する。
イ IPアドレスを用いてコールバックで接続する。
ウ 発信者のユーザIDを通知して接続する。
エ ワンタイムパスワードを利用する。
【解答】
[ad062-49][su03-26]
ディジタル署名を生成するときに,発信者がメッセージのハッシュ値を暗号化するのに使うものはどれか。
ア 受信者の公開鍵 イ 受信者の秘密鍵 ウ 発信者の公開鍵 エ 発信者の秘密鍵
【解答】
[ad062-50][ad051-48]
バイオメトリクス認証に使われるもので,小型光学式センサや薄型静電式センサから入力した画像を,特徴点抽出方式やパターンマッチングによって照合するものはどれか。
ア 虹彩 イ 指紋 ウ 声紋 エ 網膜
【解答】
[ad062-51]
コンピュータウイルス対策で用いられるウイルス定義ファイルの使い方はどれか。
【解答】
[ad062-52]
フィッシングの手口に該当するものはどれか。
【解答】
[ad062-53]
電子メールのコンテンツフィルタリングによる情報漏えい対策を説明したものはどれか。
【解答】
[ad062-54]
個人情報の取扱いについて,財団法人 日本情報処理開発協会が運営し,適切な保護措置を講ずる体制を整備し運用している事業者を認定する制度はどれか。
ア Online Shopping Trustマーク制度
イ TRUSTeプログラム
ウ プライバシーシールプログラム
エ プライバシーマーク制度
【解答】
[ad062-55]
共通フレーム98(SLCP-JCF98)が規定する内容はどれか。
(旧版の共通フレームを対象にしていますが、本問は新版でも有効です)
【解答】
[ad062-56]
CORBAを説明したものはどれか。
ア ORB(Object Request Broker)同士を相互に接続するためのプロトコル
イ オブジェクト指向の概念と手続指向の性質をもつ言語仕様とライブラリ
ウ 分散オブジェクト環境で,オブジェクト間の通信をつかさどるソフトウェア
エ 分散オブジェクト環境で,オブジェクト同士が通信するための共通仕様
【解答】
[ad062-57]
複数バイトからなる文字コードで,漢字も表現できるものはどれか。
ア ASCII イ EBCDIC ウ EUC エ JIS X 0201
【解答】
[ad062-58]
QRコード(JIS X 0510)の特徴はどれか。
ア ASCIIコード128文字すべてを表すことができるバーコード
イ 位置検出用パターンを検索して360度のどの方向からも読取り可能とした2次元コード
ウ 小型化が可能で最小セルサイズ9×9を実現している2次元コード
エ 段ボールなどに印刷され,標準物流コードとして利用されているバーコード
【解答】
[ad062-59]
圧縮された情報を伸長しても,完全には元の情報を復元できない場合がある圧縮方式はどれか。
ア GIF イ JPEG ウ MH エ MR
【解答】
[ad062-60][su04-36]
ISMSのPDCAサイクルモデルにおいて,DOフェーズで実施される事項はどれか。
ア 重要な不適合部分の是正 イ セキュリティ教育 ウ セキュリティポリシの策定 エ 内部監査
【解答】
[ad062-61]
プロジェクト組織を説明したものはどれか。
【解答】
[ad062-62]
同業他社とのマーケティング力のポジショニング分析を行った結果を表にまとめた。評価は1が最も低く,5が最も高い。自社の位置付けは上から何位か。
重み 自社 A社 B社 C社
価格 5 3 4 3 2
製品の品質 3 3 3 2 5
ブランド力 3 4 2 5 1
営業力 4 2 4 4 5
ア 1 イ 2 ウ 3 エ 4
【解答】
[ad062-63][sd04-34]
SFAを説明したものはどれか。
【解答】
[ad062-64]
期末の決算において,表の損益計算資料が得られた。当期の営業利益は何百万円か。
項 目 金額(単位:百万円)
売上高 1,500
売上原価 1,000
販売費及び一般管理費 200
営業外収益 40
営業外費用 30
ア 270 イ 300 ウ 310 エ 500
【解答】
[ad062-65]
事業年度初日の平成17年4月1日に,事務所用のエアコンを60万円で購入した。平成19年3月31日現在の帳簿価額は何万円か。ここで,耐用年数は6年,減価償却は定額法によるものとし,残存価額は10%とする。
ア 36 イ 40 ウ 42 エ 51
【解答】
[ad062-66]
表の条件で喫茶店を開業したい。月10万円の利益を出すためには,1客席当たり1日何人の客が必要か。
客1人当たりの売上高 500円
客1人当たりの変動費 100円
固定費 300,000円/月
1か月の営業日数 20日
客席数 10席
ア 3.75 イ 4 ウ 4.2 エ 5
【解答】
[ad062-67]
部品の受払記録が表のように示される場合,先入先出法を採用したときの4月10日の払出単価は何円か。
取引日 取引内容 数量(個) 単価(円) 金額(円)
4月1日 前月繰越 2,000 100 200,000
4月5日 購入 3,000 130 390,000
4月10日 払出 3,000
ア 100 イ 110 ウ 115 エ 118
【解答】
[ad062-68]
不良品の個数を製品別に集計すると表のようになった。ABC分析に基づいて対策を取るべきA群の製品は何種類か。ここで,A群は70%以上とする。
製品 P Q R S T U V W X 合計
個数 182 136 120 98 91 83 70 60 35 875
ア 3 イ 4 ウ 5 エ 6
【解答】
[ad062-69]
管理図を説明したものはどれか。
【解答】
[ad062-70]
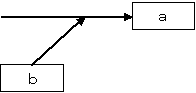
図は特性要因図の一部を表したものである。a,bの関係はどれか。

ア bはaの原因である。 イ bはaの手段である。
ウ bはaの属性である。 エ bはaの目的である。
【解答】
[ad062-71][sd03-43]
マネジメントサイエンス手法の使い方のうち,適切なものはどれか。
ア 機械の信頼性分析を行うために,PERTを用いた。
イ 財務分析を行うために,待ち行列モデルを用いた。
ウ 市場における製品の売上を予測するために,時系列分析の方法を用いた。
エ 製品の品質管理のために,シンプレックス法を用いた。
【解答】
[ad062-72][ad031-72]
六つの部署に合計30台のPCがある。そのすべてのPCで使用するソフトウェアを購入したい。次のような購入方法がある場合,最も安く購入すると何円になるか。ここで,各部署には最低1冊のマニュアルが必要であるものとする。
購入方法 使用権 マニュアル 価格(円)
単体で1本 1 1 15,000
1ライセンス 1 0 12,000
5ライセンス 5 0 45,000
ア 270,000 イ 306,000 ウ 315,000 エ 318,000
【解答】
[ad062-73][ad042-73]
工場Xでは,ある原料から3種類の製品A,B及びCを生産している。各製品の単位量当たりの製造時間と原料所要量及び利益額は表に示すとおりである。この工場の月間合計製造時間は最大240時間であり,投入可能な原料は月間150kgである。
このとき,製品A,B及びCをそれぞれどれだけ作ると最も高い利益が得られるかを知りたい。この問題を解くのに適切な手法はどれか。
製 品 A B C
製造時間(時間) 2 3 1
原料所要量(kg) 2 1 2
利益額(千円) 8 5 5
ア 移動平均法 イ 最小二乗法 ウ 線形計画法 エ 定量発注法
【解答】
[ad062-74]
セル生産方式の利点が生かせる対象はどれか。
ア 生産性を上げるために,大量生産が必要なもの
イ 製品の仕様が長期間変わらないもの
ウ 多種類かつフレキシブルな生産が求められるもの
エ 標準化,単純化,専門化による分業が必要なもの
【解答】
[ad062-75]
クレジッドカードの利用に際して,オンラインでカードの無効チェックや与信限度額の確認などを行うものはどれか。
ア ACR イ CAT ウ GPS エ PDA
【解答】
[ad062-76][ad041-76][sd02-46]
EC(Electronic Commerce)におけるBtoCに該当するものはどれか。
ア CALS イ Web-EDI ウ バーチャルカンパニー エ バーチャルモール
【解答】
[ad062-77]
会社でPC又はコンピュータ1台分のライセンスとして購入したソフトウェアパッケージの使用方法に関する記述のうち,適切なものはどれか。
【解答】
[ad062-78]
労働者の就労に関して,雇用関係とは別の指揮命令系統に従うことになるのはどれか。
ア 移籍出向 イ 請負 ウ パートタイム エ 派遣
【解答】
[ad062-79]
個人情報保護法の定める個人情報に該当しないものはどれか。
ア 営業担当者が保有している個人見込客リスト
イ 顧客のアンケート結果を統計処理し,年齢別に集約したデータ
ウ 索引付きのファイルを用いて,手作業で管理されている名刺
エ 従業員の人事考課情報
【解答】
[ad062-80]
刑法の電磁的記録不正作出罪でいう電磁的記録に含まれないものはどれか。
ア ICメモリ イ テレホンカード ウ バーコード エ 光ディスク
【解答】